| Person | Math Attitude | Y (if T = 1) | Y (if T = 0) | Y(1) - Y(0) |
|---|---|---|---|---|
| 1 | 4 | 75 | 70 | 5 |
| 2 | 7 | 80 | 88 | -8 |
| 3 | 3 | 70 | 75 | -5 |
| 4 | 9 | 90 | 92 | -2 |
| 5 | 5 | 85 | 82 | 3 |
| 6 | 6 | 82 | 85 | -3 |
| 7 | 8 | 95 | 90 | 5 |
| 8 | 2 | 78 | 78 | 0 |
| Average | 5.5 | 81.875 | 82.5 | -0.625 |
PSYC 573
Data are profoundly dumb about causal relationships
— Pearl and Mackenzie (2020)
Obtaining an estimate of the causal effect of one variable on another
an hour more exercise per day causes an increase in happiness by 0.1 to 0.2 points
\(T\) is the binary treatment variable (e.g., new drug for boosting stat knowledge)
| Person | Math Attitude | Y (if T = 1) | Y (if T = 0) | Y(1) - Y(0) |
|---|---|---|---|---|
| 1 | 4 | 75 | 70 | 5 |
| 2 | 7 | 80 | 88 | -8 |
| 3 | 3 | 70 | 75 | -5 |
| 4 | 9 | 90 | 92 | -2 |
| 5 | 5 | 85 | 82 | 3 |
| 6 | 6 | 82 | 85 | -3 |
| 7 | 8 | 95 | 90 | 5 |
| 8 | 2 | 78 | 78 | 0 |
| Average | 5.5 | 81.875 | 82.5 | -0.625 |
\[ \text{ATE} = \bar Y(1) - \bar Y(0) \]
Only one potential outcome is observed for each person
E.g., Persons 2, 4, 6, 7 take the drug
| Person | T | Math Attitude | Y (if T = 1) | Y (if T = 0) |
|---|---|---|---|---|
| 1 | 0 | 4 | 70 | |
| 2 | 1 | 7 | 80 | |
| 3 | 0 | 3 | 75 | |
| 4 | 1 | 9 | 90 | |
| 5 | 0 | 5 | 82 | |
| 6 | 1 | 6 | 82 | |
| 7 | 1 | 8 | 95 | |
| 8 | 0 | 2 | 78 | |
| average | 5.5 | 86.75 | 76.25 |
Allows researchers to encode causal assumptions of the data

Data from the 2009 American Community Survey (ACS)
Does marriage cause divorce?

Absence of a link
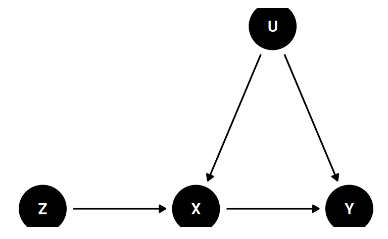
Fork: A ← B → C
Chain/Pipe: A → B → C
Collider: A → B ← C
aka Classic confounding
M ← A → D
Assuming the DAG is correct,
What would happen to the divorce rate if we encourage more people to get married, so that marriage rate increases by 1 per 10 adults?
Based on our DAG, this should not change the median marriage age
Removing incoming path to the “causal” variable
No Randomization

Randomization

The causal effect of X → Y can be obtained by blocking all the backdoor paths that do not involve descendants of X
Adjusting/“controlling” for covariates imply a causal interpretation
Please do not simply adjust for a variable without thinking about it (especially variables that may be impacted by the treatment)
cong_mesg: binary variable indicating whether or not the participant agreed to send a letter about immigration policy to his or her member of Congress
emo: post-test anxiety about increased immigration (0-9)
tone: framing of news story (0 = positive, 1 = negative)
| No adjustment | Adjusting for feeling | |
|---|---|---|
| b_Intercept | −0.81 [−1.17, −0.44] | −2.01 [−2.64, −1.45] |
| b_tone | 0.21 [−0.30, 0.73] | −0.14 [−0.70, 0.43] |
| b_emo | 0.32 [0.21, 0.43] | |
| R2 | 0.003 | 0.143 |
Which one estimates the causal effect of tone?
Mediation is a causal analysis, by definition
In the DAG, E is a post-treatment variable potentially influenced by T
Important
A mediator is very different from a confounder
Causal effect when holding mediator at a specific level (e.g., T → C when E = 5)
Controlled direct effect
| tone | emo | Estimate | Est.Error | Q2.5 | Q97.5 |
|---|---|---|---|---|---|
| 0 | 0 | 0.121 | 0.032 | 0.066 | 0.191 |
| 1 | 0 | 0.108 | 0.033 | 0.054 | 0.183 |
| 0 | 9 | 0.698 | 0.070 | 0.556 | 0.823 |
| 1 | 9 | 0.670 | 0.063 | 0.542 | 0.786 |
Comparing two potential outcomes: (a) Y(T = 1, M = M[0]) and (b) Y(T = 0, M = M[0])
E.g., What would the effect of negatively-framed story be had it not elicited negative emotions?
Change in \(Y\) of the control group if their mediator level changes to what the treatment group would have obtained
i.e., Y(T = 0, M = M[1]) - Y(T = 0, M = M[0])
E.g., What would the effect of negatively-framed story be had it only elicited negative emotions, but did not affect anything else?
Note: randomization of the treatment only rules out confounding for T → M, but not for M → Y
Assign priors representing plausible magnitude of confounding (see notes for an example)

E.g., Is the most newsworthy research the least trustworthy?


Instrument